Glycopeptides are peptides that contain carbohydrate moieties (glycans) covalently attached to the side chains of the amino acid residues that constitute the peptide.
Over the past few decades it has been recognised that glycans on cell surface (attached to membrane proteins or lipids) and those bound to proteins (glycoproteins) play a critical role in biology. For example these constructs have been showed to play important roles in fertilization, the immune system, brain development, the endocrine system and inflammation. The synthesis of glycopeptides provides biological probes for researchers to elucidate glycan function in nature and products that have useful therapeutic and biotechnological applications.
N-Linked Glycans
N-linked glycans derive their name from the fact that the glycan is attached to an asparagine (Asn, N) residue, and are amongst the most common linkages found in nature. Although the majority of N-linked glycans take the form GlcNAc-β-Asn other less common structural linkages such as GlcNac-α-Asn and Glc-Asn have been observed. In addition to their function in protein folding and cellular attachment, the N-liked glycans of a protein can modulate the protein's function, in some cases acting as an on-off switch.

|
|
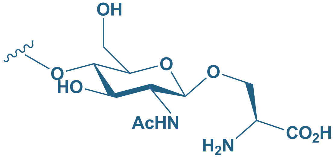
GlcNAc-β-Asn
|
O-Linked Glycans
O-Linked glycans are formed by a linkage between an amino acid hydroxyl side chain (usually from serine or threonine) with the glycan. The majority of O-linked glycans take the form GlcNac-β-Ser/Thr or GalNac-α-Ser/Thr

|
|
GlcNac-β-Ser
|
C-Linked Glycans
Of the three linkages the least common and least understood are C-linked glycans. The C-linkage refers to the covalent attachement of mannose to a tryptophan residue. An example of a C-linked glycan is α-mannosyl tryptophan.
Glycopeptide Synthesis
Several methods have been reported in the literature for the synthesis of glycopeptides. Of these methods the most common strategies are listed below.
Solid Phase Peptide Synthesis (SPPS)
Within SPPS there exist two strategies for the synthesis of glycopeptides, linear and convergent assembly. Linear assembly relies on the synthesis of building blocks and then the use of SPPS to attach the building block together. An outline of this approach is illustrated below.
Overview of the Linear Assembly Strategy
Several methods exist for the synthesis of monosaccharide amino acid building block as illustrated below.

a) Preparation of amino acid monosaccharide building block on resin b) Preparation of free amino acid monosaccharide building block
Native Chemical Ligation (NCL)
Native chemical ligation, or NCL, is a convergent synthetic strategy based on the linear coupling of glycopeptide fragments. This technique makes use of the chemoselective reaction between a N-terminal cysteine residue on one peptide fragment with a thio-ester on the C-terminus of the other peptide fragment as illustrated below.

Mechanism of native Chemical Ligation
Unlike standard SPPS (which is limited to 50 amino acid residue) NCL allows the construction of large glycopeptides. However the strategy is limited by the fact that it requires a cysteine residue at N-terminus, an amino acid residue that is rare in nature. However this problem has partly been address by the selective desulfurization of the cysteine residue to an alanine.
|